When very small particles are irradiated with light, the intensity of the scattered light is independent of the direction in which it is scattered. This is referred to as the Rayleigh scattering

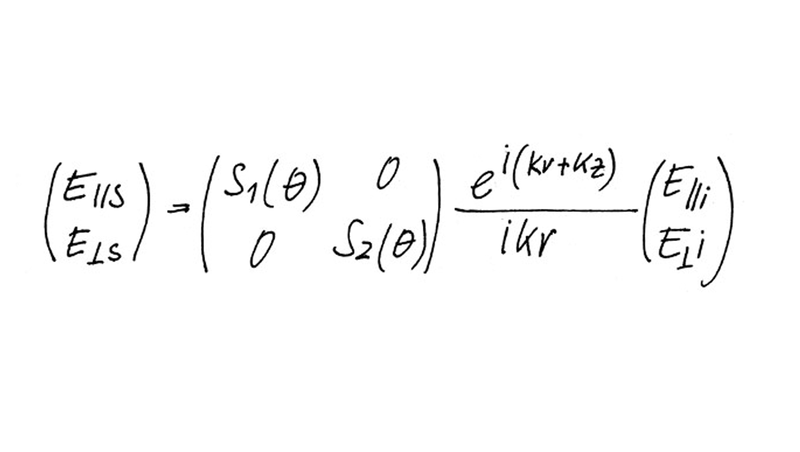
However, if the particle diameter exceeds a certain size, the scattering intensity also depends on the observation direction (Mie scattering). But this differs for particles of different sizes. In the case of a multimodal sample material, this means that the intensities resulting from the respective fractions depend not only on the size but also on the optical properties (of the Mie parameters). In order to obtain the shares by volume or number based on a measured intensity distribution applied against the particle size, these effects have to be taken into account with the Mie correction. In order to do so, it is necessary to know the refraction and absorption index of the sample material.